TW

Github Mirror

Hafta 16

Erdal Safak

Malthus daha o çağda (200 yıl önce) nüfus ile besin maddelerinin farklı dizinde çoğalmalarını dengeleyen savaş, salgın hastalıklar gibi "doğal" nedenlerin, bir yandan uluslararası ilişkilerdeki gelişmeler, bir yandan da tıbbi, biyolojik, kısaca teknolojik buluşlar sayesinde etkinliğini yitirmesi sonucu insanlığın eninde sonunda "beslenme krizi" ile karşı karşıya kalacağını iddia ediyordu. [..] Evet, dünya nüfusu artıyordu ama teknolojik devrim sayesinde, tarımsal üretimde dünya nüfusunu besleyecek düzey yakalanmıştı. Meğer hayalmiş.Yanlis 1) Malthus bahsedilen felaket tahminini 18. yuzyilda yapti, arkasindan 19. ve 20. yuzyillarda onun bekledigi felaket ortaya cikmadi cunku endustriyellesme verimliligi arttirarak besin uretimini arttirdi. Demek ki teori cuvalladi. Eger "ama yeterince bekleyince denklem dogru cikiyor" derseniz, buna bilimsel dangalaklik denir. Durmus saat bile gunde iki kere dogru vakti gosterir. Evet yeterince beklerseniz, bir sure icin herhangi bir denklem herhangi bir konuyu kisa bir sure icin aciklayabilir - ama bunu tutarli, surekli ve uzun vadeli yapabiliyor mu? Surekli kendimize sormamiz gereken soru budur.2) Malthus'un nufus buyumesini gosteren matematiksel bir denklemi de vardir, fakat cok ilginctir ki bizzat kendi one surdugu yiyecek sIkIntisi, hastaliklar gibi kisitlayici sartlari bu denkleme almamistir. Bu sartlarin denkleme eklenmesi icin 19. yuzyilda Pierre Francois Verhulst'u beklememiz gerekecekti. Verhulst daha once bu blog'da isledigimiz logistic fonksiyonu kesfeder ve nufus hesaplari bu ek ile veriyi daha iyi aciklmaya baslar.Malthus tahminleri ile logistic tahminleri yanyana plot edin, bir sure sonra Malthus'un cuvallamaya basladigini, ama logistic fonksiyonun dogru tahmine devam edecegini goreceksiniz (bkz alttaki plot'lar - soldaki logistic denklem)Bunu bir not olarak dusmek istedik, Safak'in ana soylemi ile ilgisi yok, fakat Malthus'un eksikleri ile bir ilgisi var.--Ozet olarak: Nufus artisi kendi kendini besleyen bir dinamige sahiptir, 19.,20. yuzyillarda bu kendini besleme "endustriyellesme" uzerinden olmustur, insanoglu yeni bir uretim sekli kesfetmistir ve kendini daha iyi besleyebilmistir, simdi de bu biyoteknoloji, otomize tarim gibi innovasyonlar uzerinde olacaktir. Genetik bazi kodlari degistirerek kafaniz kadar domatese sahip olabilirsiniz.Bazi ornekler:

Capisc?


Taha Akyol

Tedbir almak zordur çünkü insanoğlu sırf “akılcı” bir yaratık olmadığı için, çok defa yatağa düşmeden acı ilacı içmiyor.

Belki

Insanoglu ve onun bireysel istekleri, cikar pesinde kosturmasi bir sistemin baz alabilecegi en kesin "durtu"'dur. Tekil bir insan bazen hata yapabilir, elinde piyasa hakkinda "mukemmel bilgi" de olmayabilir - fakat insan gruplari bir karar odagi olarak agirlikli olarak rasyoneldir. Istatistikteki normal egriyi hatirlayin, ortadaki kisimdan bahsediyoruz. Demokrasi ve kapitalizm bu sayede isliyor.

Bence temkinli yaklasilmasi gereken bir sey varsa, o da "daha fazla regulasyon" gibi yapay olusumlardir. Kapitalizm'deki krizler her zaman devlet piyasanin isine gerektiginden fazla burnunu soktugunda meydana gelmistir, buna 1929'daki kriz de dahildir.

TA

KEMAL Derviş’in “Dünya Ekonomisinin Yeni Yapısı Üzerine Perspektifler” konulu konuşmasını okudum. Derviş bir ekonomist olarak dünya çapında saygın bir isim olduğu gibi, BM Kalkınma Programı Başkanı olarak da son derece önemli bir otoritedir

Pek sanmiyorum

Ekonomist olarak soylenen kismen dogru, fakat vizyoner olarak Dervis ABD'de orta seviyede bir beyindir. Daha once yapilan Davos toplantilarin birinde kuresel ekonomi, fakirlik ele alindiginda ona soz verildi, o da problem hakkinda "yapilmali, edilmeli, bu bedel yuklenilmeli" turunden laflar etti... Bu sozlere kimseden katki, elestiri gelmedi, kaale bile alinmadi! Bunun sebebini soyleyeyim: O sozlerin icindeki "gizli zamir", yani yapilmali kelimesindeki aktor, devlet, burokrasi gibi bir sey olacak, boyle laflari da artik o asamalardan gecmis, onlari arkada birakmis olanlar duymak istemiyor! Eger fakirlik, hastaliklar gibi konulari cozmek istiyorsaniz, uzerinde optimizasyon yapabileceginiz bir durtu bulmaniz gerekir. Ne? Daha bilinmiyor.

Fakat insanligin eskiye gore daha iyi durumda oldugunu kimse yadsiyamaz. Rakamlara bakalim, fakirlik uzerinde eskiden (endustri oncesi) kac kisi vardi, simdi kac kisi var [2]. Nufusumuz kacti, kac oldu! Bu bile yeterli bir olcudur. Bu insanlar beslenememis, is bulamamis olsa, dogurulmaz, sonraki nesli dogurmazdi! Kaliteye bakmak istiyorsak, eger fakirlik uzerinde yasayan insanlarin sayisi arttiysa, bu bir basaridir. Nokta. Bunun uzerine eklediginiz her sey, ek basarilar olacaktir. Su anda basarisiz durumda degiliz, daha iyi olmak istiyoruz ve bunu nasil yapacagimiza karar vermeye calisiyoruz.

Krizde olan bir sey varsa, o artik cokmeye baslayan endustriyel sistemin kurumlaridir. Kitle egitim, kitle habercilik, cekirdek aile, vs. Fakat birey cevresinde sekillenen serbest piyasa, innovasyon, bilgi teknolojileri son gaz yola devam ediyorlar. 90'lardaki IT balonu yapay bir sismeydi, hatta vaktinden once olmus bir kutlamaydi! Su anda elimizde o gun oldugundan iki kat iyi teknolojiler var (burada o balonun itici etkisinin de oldugunu soylemek gerekir) - balon gitmis olabilir, ama kazanimlari know-how olarak hala bizde duruyor.

TA

Marx sosyolojiye sınıf analizleriyle önemli katkılarda bulunmuş [..] bir filozof, fakat kötü bir ideolog ve kâhindi!

Dogru


Fehmi Koru

[..] İtirazı yapanlar bir veya iki münasebetsizden ibaret olsa belki önemsemez geçebiliriz; ancak sporu ilgi alanı seçmiş neredeyse her kalem, televizyonların hemen her spor yorumcusu, bir münasebet düşürüp Hakan Şükür'ü yerlere vurmak için o saf temennisini dile dolamaktan çekinmedi. Toplum ile medya arasında siyaset alanında her gün tanığı olduğumuz 'değerler sistemi çelişkisi', öyle anlaşılıyor ki, aynıyla sporumuz için de geçerli.

Dogru

Televizyon seyretmedigimiz [1] icin bilmiyoruz ama tarif edilen turden sozler soyleniyorsa hakikaten yazik. Bazi insanlarin "takintilarindan" artik kurtulmasi gerekiyor. "Mustemleke laikligi" hissiyatinin artik vakti gecti.

[1] Ayrica tam anlamiyla "gazete okudumuguzu" soylemek te zor. Kose yazarlarina ek olarak, laikci yobaz olmayan bazi gazetelerin basliklarina, goze carpan tek tuk habere bakip, Google News, ya da diger "birlestirici" kaynaklardan haber aliniyor daha cok. Kitle haberciligin cokmeye basladigindan bahsetmistik, buyrun iste.

[2] Fakir insanlar, demokrasi sayesinde, sistemden hatiri sayilir seviyede sosyal yardim koparmayi da basarmislardir (hatta Turkiye'de sistemin verebileceginden fazla!) Bu da sistemin isleyisine dahildir - sosyal yardimin optimal seviyesi suc oranini en az seviyede, ve kisiyi merkeze bagimli hale getirmeyecek ve merkezin verebilecegi en fazla orandir. Insanlari bagimliliktan kurtarmak ileride dijital egitim uzerinden olabilir - sinif, tahta, hoca merkezli olmayan daginik ve olceklenebilen bir egitim.


Hurriyet

ABD’de, "Kaos ve Kelebek Etkisi" teorisinin babası olarak gösterilen Amerikalı bilim adamı Edward Lorenz hayata gözlerini yumdu. Lorenz’in ünlü teorisinin temel önermeleri şunlar:

Düzen düzensizliği yaratır.

Eksik

Dogru kelime "deterministik sistemler kaos yaratabilir" olacakti.

H

Düzensizliğin içinde de düzen vardır.

Eksik

Dogrusu, kaotik sistemler bazen stabil bir faza girebilirler sozudur. Ayrica, kaos strange attractor denen bolgelerde kendini "tekrar edebilir". Bu tekrar duzenli olabilir. Ama anahtar kelime olabilir.


H

Yeni düzende uzlaşma ve bağlılık, değişimin ardından çok kısa süreli olarak kendini gösterir.

Ne?

Bunlar flu laflar... Tercume bile oldugundan supheliyim. Birileri yine kafasina gore takilmis.


H

Ulaşılan yeni düzen, kendiliğinden örgütlenen süreçle kestirilemez bir yöne doğru gelişir.

Sacmalik

Kaos terosinde "baslangic sartlarina hassas baglilik" sozleri cok onemlidir, yani "sensitive dependence on initial conditions". Bunu anlamadan Kaos Teorisini anlamis sayilmazsiniz. Lutfen! Iki dakikada Wikipedia'dan bakip tercume ederek bile bundan daha iyi bilgiler edinebilirdiniz.


Gulay Gokturk

En katı ve dışlayıcı yaklaşımlar 'eğitimli' insanlardan geliyor; insan haklarına ve demokrasiye en uzak tezler de yine onlar tarafından savunuluyor. Seçimlerde en anti-demokratik siyasi tercihler de, sağ ve sol totaliter örgütler de, darbecilere destek de yine ağırlıklı olarak onlardan geliyor" diyordu Berat...

Dogru

Bu duruma en iyi aciklamayi Amerika'nin kurucularindan bilim adami Benjamin Franklin vermistir. Ozdeyis soyledir:

"O iyi egitimli bir insan degil, cunku egitimli olmayan insanlara dayanamiyor".

Demek ki bizim demokrat olmayan "egitimli" insanlarimiz aslinda "iyi egitimli" degiller. Buna bakip aslinda "iyi ki daha fazla "egitilmis" insanimiz yok" diye sevinmemiz lazim! Allahtan egitim, halkimizin tumune ulasamamis! Kaldi ki kendini egitimli zannedenlerin karsisinda artik egitimsiz insanlar yok. Sadece hayatindaki birkac secenegin farkli oldugu insanlar var. Acaba ulkemizde egitim cocuklarimiza zalim olmayi mi ogretiyor?


Taha Akyol

İnönü, genç cumhuriyeti “kurumlaştırma” ihtiyacını vurguluyor, “devletin kalıcı, devlet başkanlarının farklı olabileceğini göstermek için” kendi resmini paralara koydurduğunu anlatıyor.

Akla yatkin

"Para uzerinde kafa" polemigi hakikaten bir polemiken ibaret... CHP'nin bu saldiri karsisinda sican gibi kivranmasini zevkle seyretmem bir yana, ustte belirtilenler zihnimdeki Ismet "Gitti Kismet" Inonu imajina uymakta... Yani, piyasa, uretim, ticaret, vs. gibi konulardan pek anlamayan, ama yonetim, devlet gibi konularda bazi icraatlari olmus, bazi seyleri "yapmaya ugrasmis" bir sahsiyet,.. Inonu'yu kakalayip tarihimizdeki diger sahsiyetleri "kurtarmaya" ve "sahiplenmeye" calisma cabasinda zaten taraf degiliz, ama bunu iceren politik "maci" ilgiyle ve bazen gulerek seyretmekteyiz.

Ayrica - polemigin de siyasette yeri vardir - secmene o konu hakkinda bir sey soylemese de, saldiri ve muhatabi hakkinda bir seyler soyler. Nasil karsilik veriyor? Ne kadar etkili? Clinton / Bush baskanlik yarisi sirasinda, o zamanki baskan yardimcisi Dan Quayle'nin "ben bizim kampanyanin (Bush tarafi) pitbull saldiri kopegi olacagim" sozu ustune rakibi Bill Clinton, "hic suphem yok ki bu sozler Amerika'daki tum yangin musluklarini korkudan titretmistir (kopekler o musluklara iserler cunku)" cevabini vermisti. Bu pur bir polemiktir.

TA

Tarih üzerinden güncel siyaset yapılmamalıdır!

Yanlis

Yarinin planlanmasi gecmisi anlamayi gerektirir, siyaset de yarina donuk bir enstruman olduguna gore, tarihin siyasette gundeme gelmesinde hicbir mahsur yoktur.

Aclik tehlikesi ve kapitalizme gelirsek: Eger ortada bir arz sIkIsmasi var ise, bunun caresi arzi arttirmaktir. Arzi arttirmak ise verimliligin artmasi ya da yeni girisimler demektir, ki bunu ozel tesebbusten baskasi gerceklestiremez. Sosyalizm "elde olani dagitma" sistemidir, "olmayani ortaya cikarma" sistemi degildir. Kaldi ki elde olani dagitmayi kapitalizm de pek guzel gerceklestirir.

Bu konuda suclanacak biri varsa bu, Irak uzerinden kuresel guc oyunlari oynayip dunya stabilitesini bozan, petrol fiyatinin artmasina, bilahere bunun yiyecek fiyatlarina yansimasina sebebiyet veren, kuresel isinma hakkinda basit cozumlere yonelip yiyeceklerin yakitlastirilmasina sebep olan ve boylece tum dengelerin icine eden ABD sahinlerinden baskasi degildir.


Ali Bayramoglu

Bu darbe hamlesi savuşturulmalıdır. Ve bunun tek bir yolu var: İçinde Anayasa Mahkemesi değişikliklerinin de olacağı sivil ve demokratik bir anayasayla referanduma gitmek…

Iyi fikir

Ayrica An. Mahkemesi degisiklikleri, su anki uyeleri "tamamen sifirlayan" bir sekilde yapilabilir - bir ek madde olarak ilk uyeleri parlamento + Cumhurbaskani atar boylece Kemalizm'den buyuk olcude arinmis yeni bir anayasa mahkemesine kavusabiliriz.

Bu yeni mahkeme atamalarinda meclisteki her partiye bir, ya da meclisteki temsil oranina gore, uye atama hakki vermek iyi bir fikir olabilir. Bunun sonucu olarak mesela Kurt asilli, milliyetci (ama turbani tehlike olarak gormeyen) ve Kemalist (ama buyuk oranda degil) yargiclarimiz da olabilir.

Parlamento'muzun gucunun kisitlanmasi anlamina gelen yargi darbesine hicbir sekilde izin verilmemelidir. Daha onceki bir yazimizda isyanlar, kargasa ve kaosun oldugu Kenya gibi ulkelerde parlamentonun zayif olmasinin bu kargasada onemli bir faktor oldugunu belirtmistik. Demek ki Turkiye karisiklik yasamak istemiyorsa, parlamentonun gucunden katiyen taviz verilmemelidir.


Hadi Uluengin

Küba merakım henüz "cinnet yıllarım"a yelken açarken başladı. GİTTİM ki, ayıp tercümesini size bırakıyorum, gümrükten çıkıldığı an "kamon senyor, tüventi dolar, gud cob" diye üşüşen küçük kızcağızlardan kendimi kurtardığımda, "sosyalist cennet" ne kelime, "sosyalist kerhane"ye geldiğim kafama tamamen dank etti.

Dogru

Devletcilik, sosyalizm, yobaz Kemalizm, ve pek cok diger kollektif "izm"'ler deger uretememeye (cunku uretimin temeli olan bireyi hicbir zaman gerektigi kadar tesvik edemezler) bilahere halklarini ac birakmaya mahkumdurlar. Ama ilginc olan bu tespit degildir - ilginc olan, 21. yuzyilda hala bu ornekleri romantize etmeye calisanlarin olabilmesidir. Belki de bunun sebebi psikolojik bir korkudur - deger uretemeyenler, ve uretemeyeceklerini bilenler, uretebilenlerin elindekine goz koymakta ve bunu mumkun kilacak mekanizmayi mesru hale getirmeye ugrasmaktadirlar. "Birbirine yardim" kisvesi altinda devlet merkezli gasp sisteminden baska bir sey olmayan sosyalizmi bu devirde desteklemelerinin baska bir aciklamasi olamaz.


Mehmet Barlas

[..] AK Parti'lilerin sıra partilerinin kapatılmasına geldiği zaman AB ipine sarıldığıni [..]

Eksik

Bakis acisi yanlis, bu yuzden final analiz eksik. Esas bakis acisi soyle: Kapatma davasi yuzunden AB neyi kaybedecegini (demokrasiyi, bilahere Turkiye uyeligini) anladi ve halk nedzinde dusmus imajini yukseltmek icin yuksek profil bir Turkiye ziyareti planladi. Boylece uzun suredir Merkel, Sarkozy yuzunden Turkiye'ye verilen "sirt cevirmis" goruntusu duzeltilmeye ugrasildi. Final analizde AB'nin Turkiye'ye ihtiyaci vardir ve son yasananlar Turkiye'yi tas devrine geri dondurme ihtimali icerdigi icin AB tarafindan ciddiye alinmistir ve Barroso ziyaretinin arka planinda bu yatmaktadir.

AKP halkin nabzini tutmakta cok ciddi caba gosteriyor - ve halkin kuvvetle arkasinda olmadigi isleri takip etmekte enerji harcamiyorlar, cunku sonucta tek kuvvet noktalari "o halk destegi"dir. Fi tarihinde tezkerenin meclisten gecmemesinin sebebi de tezkerenin arkasinda halk destegi olmamasi idi (Erdogan ve Gul ikilisi her ne kadar acikta ABD'yi destekliyor goruntusu verselerde aslinda tezkereyi desteklememislerdir -programlarinizda da zart zurt bu soruyu sormayin, adam tabii ki "destekliyordum" diyecek, ABD iliskilerini iyi tutmak icin-). Bu sebeple AB'nin profilinin dustugu sirada AKP strateji olarak AB'nin "pesinden kosar" profili vermeyecekti.

Son zamanlarda olanlar hakkinda: Iiddianame baglaminda olanlari "kotu" olarak niteleyemeyiz... Kemalist beyinsizler nihayet bir hamle yaptilar ve aslinda stratejik olarak yanlis bir adim attilar. Olabilecek her sey olur ama tum bunlarin sonunda olmasi en muhtemel olanlar olur. Kaos teorisinde karisik bolgeler vardir ama stabil bolgeler de mevcuttur ve bazi stabil noktalarin yeterince yakinindaysaniz onlardan kacmaniz neredeyse imkansizdir (bu bolgeleri plot ettiginizde de grafik sasirtici sekilde kara delige benzer -burada iyi anlamda bir kara delik tabi ki-). Uzun vadede olacak "en muhtemelin" de ne oldugunu hepimiz biliyoruz.

Turkiye'nin kultur kodlari ortadadir.


Mehmet Barlas

Veya Erdoğan'ın partisine oy veren tek çocuklu evli çiftler, "Üç çocuk yapın" çağrısını duyunca hemen yatak odalarına mı koşacaklardır?

Hayir, ama ..

.. hesap olarak dogru bir rakamin telafuz edilmesinde hicbir mahsur yok. Belki milyonda bir kisi o ucuncu cocugu yapacaktir, bu bile bu rakamin telafuz edilmesi icin yeterlidir. Ayrica bu beyan simdiye kadar "dogru" zannedilen nufus planlama mentalitesinin yanlis oldugunu onu destekleyenlerin gozune sokarak ortaya koymaktadir, bu da iyi bir seydir. Kim bilir - cocuk belki coban olur, belki Cumhurbaskani olur (hatta ikisinin de oldugu bir ornegimiz vardir).

Neyse - cocuk yapma yasi sizden "gectiyse" gocunmaniza gerek yok... :) Bu isi genclere birakin.


TUSIAD

"Türkiye'de ciddi bir muhalefet boşluğu yaşanıyor. Bu durum TÜSİAD'ın söylemlerinin daha siyasi algılanmasına neden oluyor. Keşke daha kuvvetli, daha yapıcı söylemleri olan bir ana muhalefet partisi olsaydı."

Yanlis

Muhalefet eksikligi Turkiye'nin bir numarali problemi degildir. Esas problem demokrasinin islemesine izin verilmemesi ve iktidarlara is yaptirilmamasidir. Daha once modern Avrupa'nin degisik seyleri denemeye acik olan kenarda kosede kalmis "catlaklar"'da gelisip buyudugunu belirtmistik, yani bugunku Avrupa statukocu "yoz" derebeyliklerden gelmemistir. Ve "deneme/yanilma/tekrar deneme/basarma" dinamigi gunumuzde en iyi demokrasiler uzerinden gerceklesiyorsa (cunku basari/basarisizlik kistasini sadece halk belirleyebilir) bu surecin islemesine surekli comak sokulmaya ugrasilmasi tum ulkeyi geri tutacaktir, ki tutmaktadir.

Eger TUSIAD iyi muhalefet istiyorsa, her endustriyel ulkede entegrator elitin yapmasi gerekeni yapmali, ve o ikinci alternatifi palazlandirmalidir. Stop crying like a little BITCH. Bu alternatif belki "Sinanoglu Kemalizmi" olabilir, ya da "Ucuncu Yol" denen (bizim ucuncu dalga ile -direk- alakasi yok [2]) Bill Clinton'un actigi yol olabilir - tabii AKP basarili gordugu konulari hemen sahiplenmeye ugrasacaktir.. yani etkili muhalefet zor.

Eger hakikaten dengeler ve kontroller sistemini kurmak istiyorsaniz, Amerikan sistemine gitmeniz gerekir. Meclis ve hukumet ayri sandiklardan cikacak - halka "denge" icin mecliste karsi partiyi secebilme "sansi" verilecek... Burada onemli olan kavram "parti" degil, her "erkin" farkli sandiktan gelmesi. Bundan sonra herhangi bir erkin kompozisyonunun hangi partilerden olustugu artik o kadar onemli degildir - halk o kompozisyonu farkli sekilde belirleyebilecegi gibi, hukumetten daha ayrilan meclis daha da kuvvetlenir. Senatorler var ise, bu insanlar daha uzun vadeli "elit" gorusu yansitabilirler (bkz Ingiltere'de Lordlar Kamarasi, ABD'de Senato) [1].

Ama tum bunlar bir tarafa, mevcut sistem de isletilebilir. Kemalist yobazlarin varligi sistemin islememesinde en buyuk problem.


Murat Belge

Ama bugün saygı duyulan, platonik bir 'saygı duymak'la kalmayıp üzerinden iş görülebilen bir diyalog kanalı, demokratik değerler kanalıdır. Uluslararası topluluk bu zeminde buluşur ve konuşur. Buranın değerleri, ayrıca, 'Uganda demokratik değerleri', 'Paraguay demokratik değerleri' diye ayrışmaz. Uluslararası değerler'dir bunlar. Türkiye'den birileri ABD veya AB ile bir diyaloğa giriyor ve bir yerlere varabiliyorsa, bu dili konuşabildiği ölçüde bir yere varıyor.

Baykal'ın 'Türkiye Cumhuriyeti'nin değerleri' dediği, aralarında kendisinin de yer aldığı, bir yanından 301, bir yanından çeşitli andıçlar sarkan, barut kokan 'değerler dünyası'nın bunlarla hiçbir ilgisi yok. Baykal'ın da bir öğesi olarak içinde yer aldığı o kesim, bu uluslararası dili öğrenmeyi ve bu uluslararası değerlere değer vermeyi reddediyor. Onun için, ABD'nin veya AB'nin ciddiye aldığı, önem verdiği bir parti (asıl onun şu anda temsil ettiği halk desteği) ile bu kesim bir araya gelemiyor, konuşamıyor, barışamıyor. Türk'ün Türk'ten başka dostu olmadığı gibi, bu kesimin de kendisinden başka konuşup anlaşacağı bir kesim yok.

O kesim öyle de, AKP ve ileri gelen temsilcileri o uluslararası dili gerekli bütün incelik ve nüanslarıyla konuşmayı biliyorlar mı? Bence, hayır. Ama en azından konuşmaya, başka herkesten daha fazla çalışıyorlar ve ötekilerden, bunu öğrenmemeye kararlı olanlardan, bu noktada ayrılıyorlar. Geldikleri siyasi-ideolojik kökenin önlerine koyabileceği ve koyduğu bütün engellere rağmen, dünya ile konuşup anlaşmaya en açık olanlar onlar. 'Türkiye Cumhuriyeti değerleri' ile barışık olan Baykal, üyesi olduğu Sosyalist Enternasyonel'de kaç kişiyle konuşup anlaşabiliyor?

Dogru

Daha fazla ekleyecek bir sey yok.

[1] Tabi "baskanlik sistemi" deyince bazi "sosyalist" temelli insanlar (mesela Dr. Zafer Uskul) hemen "saltanat sistemi" diye yirtiniyor, cunku her ne kadar demokrat olmayi basarmislarsa da (ki bu cok onemli bir gelisme) devletci bir temelden geliyorlar ve her yerde bir "teklik" arama yonunde meyilleri var. "Binlerce aktorun etkilesiminden ortaya cikan ortak aklin yonu ve kendi icinde istikrari, guvencesi, oto-kontrolu" kavrami hala bu insanlar icin anlasilmasi zor kavramlar. Zafer Uskul'u suradaki yazida yeterince tokatladik zannediyorum, daha fazlasina gerek yok. Ama yeni mecliste kendisine bir ses verilmis o sebeple parti icinde Burhan Kuzu'ya (bu konuda) bir karsi denge noktasi olmasi sebebiyle erkler dengesi sistemine gidilmesinde fazla bir ihtimal gozukmemektedir. Goruldugu gibi, demokratik sistemin karar mekanizmasina saygi bu demek - eger parti ici, disi secim ortaya bu kompozisyonu getirdiyse, onun izin verdikleri olacaktir. Izin vermedikleri olmayacaktir.

[2] Muhakkak 1950 sonrasi ABD'de, daha sonrasi dunyada olan tum siyasi degisimlerde Ucuncu Dalganin fitilleyici ve katalize edici etkisi var. Sovyetleri yikan yeni teknoloji temelli bir ulkeydi [4], geri birakan ise Sovyetlerin zaten kendisi geri kalmis sanayilesme ideolojisinin bir de en yozlasmis/merkeziyetci versiyonu olan sosyalizm'de tikanip kalmis olmalariydi. Akabinde "kendine sol diyen seyin" hayatta kalmasi icin yeni bir "yol" bulmasi kacinilmaz olacakti, ki buna Ucuncu Yol denmistir (ne sag, sol, ucuncu yol). 90'lari hatirlayanlar Bill Clinton'un "yeni ekonomi" kavramina ne kadar cok vurgu yaptigini hatirlayacaktir [3]. Ucuncu yol ve dalga arasindaki organik baglanti buradan ileri gelmektedir.

[3] Burada Turkiye'ye ilginc bir paralel var: Clinton bu (ucuncu) yolda ilerlemeye basladiginda parti icindeki statukoculardan cetin bir tepki aldi. Yenilik icin ortaya koyduklarini "secim kazanmak icin soyluyor bunlari" diyerek kotuleyen, onu bu sekilde sucladigini zanneden statukocu yobaz Demokratlar bile cikmisti! Clinton hatirasinda ciddi bir alayla (sarcasm) durumu soyle aktarir: "Demek ki secim kazanmak artik biz Demokratlarin yapmamasi gereken bir seydi". CHP'ye ne kadar benziyorlarmis degil mi? :)

[4] Hatta yeni teknolojilerin Amerikan askeri doktrinine yansimalarinda etkili olanlar, Toffler ciftinin bizzat kendileridir. Daha fazla bilgi icin sag kolondaki "General Donn Starry" baglantisina bakabilirsiniz.


Milliyet

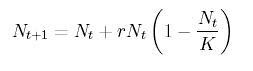
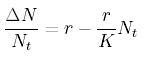
Türkiye İstatistik Kurumu (TÜİK) 31 Aralık 2007 tarihi itibarıyla adrese dayalı nüfus kayıt sistemiyle Türkiye nüfusunu 70 milyon 586 bin 256 olarak saptarken, [..] gibi uluslararası kuruluşlar içinde bu rakama en yakın tahmin Amerikan Sayım Bürosu’ndan (US Census Bureau) geldi. [..] Başta Amerikan Haber Alma Teşkilatı (CIA) olmak üzere çok sayıda kuruluşun rakamlarını kullandığı Amerikan Nüfus Bürosu, 2007 temmuz ayı itibarıyla verdiği 71 milyon 158 bin 647’lik nüfus rakamıyla, Türkiye nüfusunu en iyi tahmin eden kuruluş oldu.Zor bir sey degilBahsedilen hesap, differansiyel matematikte yapilan en basit hesaplardan biridir. Temeli lojistik denklem denen bir modele gider - bu modelin ortaya cikarilmasinda cok guzel bir yaraticilik ve zeka var, ona ileride belki geliriz, ama denklemi biliyorsaniz, ki nufus hesabinda lojistik denklem kullanildigini akademide herkes bilir, tarihi (historical) veriye bakarak ileri dogru tahmin (projection) yapmak cok kolaydir. Once lojistik denkleme bakalim:Bu denklemde sabit degerler r ve K degerleridir, Nt ise donemlik nufus degerleri. Nt degerlerini veriden gelecek, sabit degerleri tarihi veriyi isleyerek bizim cikartmamiz gerekiyor. Burada hemen bir matematiksel takla atmak lazim.Eger Nt'yi sol tarafa alip, iki tarafi Nt ile bolersek elimize dogrusal denkleme benzeyen bir sey gelecek.Yani denklem y = mx + c denklemine benzeyecek, c bizim r, m yani egim (slope) bizim -r/K oluyor. Guzel.Simdi sabitleri veriden cikarmaya gelelim. Ustteki gibi bir denklem kullanarak veriyi ona uydurup (fitting) m ve c degerlerini bulmanin yoluna lineer cebirde "regresyon" denir. En baz matematik paketinde bile bunu yapan bir fonksiyonu bulabilirsiniz. Biz Python Numpy diye bir paketteki polyfit adli fonksiyonu kullanacagiz. Bu arada hemen Turkiye'nin nufus verisini ekte verelim (TUIK'ten indirdik)1940 178211945 187901950 209471955 240651960 281601965 318381970 354641975 395851980 441051985 493991990 541301995 588642000 636272005 68143Bu veriyi nufus.txt diye bir dosyaya kaydedin.

Simdi Python bilgisayar programini verelim:from pylab import pdata = loadtxt('tr.txt')pdiff = diff(pdata[:, 1])pratios = pdiff / pdata[0:-1, 1]p = polyfit(pdata[0:-1, 1], pratios, 1)r = p[1]K = -r/p[0]prev = pdata[-1,1] # en sonuncu veri noktasini alprevy = pdata[-1,0]for i in arange(4): curr = prev + (r * prev)(1-(prev/K)) curry = prevy + 5 print(curry, curr) prevy=curry prev=curr

Bu kadar!Bu programi islettiginizde elinize gelecek sonuc 2005 yili icin 69,563,000 degeridir.Yukaridaki kodda ekrana basmak icin kullanilan kodlari gecerseniz, gercek hesabi yapan bolumler 7-8 satirdan ibarettir. Yani demek istedigimiz gazeteler bilimsel konularda allama pullama yapmadan once bir biline danisirlarsa, bilgilendirici ozelliklerini arttirabilirler, onemsiz seyleri insanlarin gozunde buyutmekten de kurtulurlar. Ustteki hesap herhangi bir universitede matematik ogreten bir hocanin uykusunda cevaplayabilmesi gereken bir sorudur.Tayyip ErdoganBazıları rahatsız oluyor, Başbakan 3 çocuk yapın dedi diye. Şu andaki nüfus artış oranıyla devam edersek, 2037'de nüfusunuz yaşlı nüfus haline gelecektir. [..] En az 3 çocuk yapın.Hala dogruDaha once belirttigimiz gibi, bahsedilen rakam dogru. Saglikli nufus buyumesi icin gelismis ulkelerde aile basina 2.1 cocuk, gelismekte olan ulkelerde 2.5 ile 3.3 cocuk arasi gerekir (gelismekte olan ulkelerde daha fazla olum oldugu icin). Bu rakamlari, mesela 2.5'i, "genel (blanket)" beyanlar yapmak zorunda olan basbakan gibi biri 3'e dogru "yukari" yuvarlayabilir. Beyan, matematiksel olarak dogrudur.


Milliyet

Web browser'ı Firefox'un ünlü logosunun arkasındaki sır çözüldü. 17 Aralık 2002 tarihinde Hubble Uzay Teleskopu tarafından çekilen bir uzay fotoğrafı akıllara Firefox'un logosunu getirdi.

Yanlis

Kimin aklina getiriyor? Hangi kaynaga gore bunu akla getiriyor? Firefox logosunun ortaya cikisi hakkinda gercekleri o logoyu yaratanin kendi agzindan ifadelerle surada bulabilirsiniz. Zaten logoya biraz yakindan baksaniz, onun "dunyayi sarmalayan ates (fire) kuyruklu bir tilki (fox)" resmi oldugunu gorebilirsiniz. Biraraya koyalim: Fire..fox. Capisci? Bakin solda kafasi var, sarmaladigi "seyin" rengi mavi, bir kure (yani dunya), uzerinde kitalar falan gozukuyor yahu!Sanatcinin bu imaji yaratirken esinlendigi "esas goruntu" alttadir. Tek bir Google aramasi ile bu bilgilere 2 dakikada ulasabilirlerdi - "firefox logo icon" kelimeleri yeterli. Geri gelen sonuclarda (hits) en ustteki bilgiyi veriyor.Gazetelerimiz bu tur haberleri yayinlamadan once bir bilene danisirsa insanlara yanlis bilgi vermekten kurtulacaklardir. Lutfen, biraz kafa ve parmak calistiralim.


Mehmet Barlas

Bizim petrolümüz veya doğal gazımız yok. Bizim bu coğrafyadaki en büyük doğal zenginliğimiz "güvenilir ve istikrarlı demokrasimiz"dir.

Eksik

Sn. Barlas bu soyleminde Polonya basbakani Donald Tusk'tan "esinlenmis" (simdi gencler buna "Indra Gandi yapmak" diyor galiba :)). Fakat Polonya basbakaninin kendi ulkesi icin soylediklerinin Turkiye icin birebir gecerli oldugunu, kelimesi kelimesine soylemek zor. Soylesiyi okursaniz basbakan "bizde turizm yok, hi-tech yok" diyor. Bunlardan birincisi bizde var, ikincisi de kesinlikle ulasabilecegimiz bir hedeftir. Ozgurluk lazim degil demiyoruz, dogal kaynak kelimesi hafiften acaiptir... Bizce, ozgurluge bilgi ekonomisinin "vazgecilmez/tetikleyici ogesi/arka plani" olarak bakmak daha dogru.. Bilgi ekonomisinde gercek hammadde, dogal kaynak, bilginin ta kendisidir. O hammaddeye erisim, isleyebilme, vs. baglaminda ozgurluklerden bahsedilebilir.Ve bu baglamda ozgurlukler kesinlikle buyuk onem tasirlar.


Serdar Turgut

İyi bir burjuva olabilmenin şartı eldeki para miktarı değildir. Burjuva olabilmek o kadar kolay değildir. Burjuva adını hak edebilmek kültürel ideolojik bir gelişme, değişim gerektiren bir süreçtir.

Yanlis

Bu burjuva laflarini geciniz (Fransiz'lar bu kelimeyi kullanmayi cok sever). Gelecegin hakim sinifi, cognetariat denen bilgi iscileridir - ve bu insanlar zaten gundelik islerinde analitik melekeleri kullandiklari icin dunyaya bakislari dogma kabul etmeyen, olculu ve demokratiktir. "Kulturlu" kelimesi de anlamini yitirmistir cunku artik "tek kultur" yoktur, herkes icin degisik olabilecek "kultur alanlari" vardir. Eski jargonda cogunlukla kulturden kasdedilen Ronesans sonrasi Avrupa sanati, yerini cesitlenen insanlarin hobileri, zevkleri etrafinda sekillenen alanlara dogru birakmaktadir [1]


ST

Bu sorunun neden komik olarak algılanabileceğini anlamak mümkün değil. Halbuki İshak Alaton’un sorusu detaylandırılmasa da kapitalizmin ciddi bir analizini içeriyor.

Yanlis

Soru ciddi bir analiz icermiyor. Ayrica soru komik, cunku sorunun (!) yoneltildigi, G.E.'yi zaten yeni kapitalizm yolunda en cok ilerletmis bir kisi. Welch Hindistan'a IT outsourcing'i yapan ilk yoneticilerden. Ilerisi icin IT ve biyoteknolojinin kesisiminden iyi para kazanilabileceginden bahsetmekte... Beyaz yakali toplumda cok onemli olan "kisisel gelisimi" on plana almakta. Sunu acikca soylemek gerekiyor: Alaton'un sorunun sorulma seklinin altinda yatan, "farkli olmaya calisan zipir cocuk" mentalitesinden baska bir sey degil. Toplantidan sonra "vaaay ulan Welch'e nasil sordu ama?" havasinda, "yabanciya nanik yapti" turundeki Ortadogu ezikliliginin tatmin cabasi.

ST

Marx, bu bölümde, normal sürecinde işlemekte olan kapitalist üretim sürecinin hiçbir dışsal etki bile olmadan nasıl krizler üretebileceğini anlatmıştır.

Ve cuvallamistir

Marx'in referans aldigi endustriyel kapitalizm'dir ve referans aldigi kaynaklarin yanlisligi, onu da yanlis analizlere itmistir. Teori yuzyillarca bu sebeple gelecegi tahmin edemedi, hala da edemiyor. Turgut, Erdal Safak'in dustugu ayni hataya dusuyor. "Yeterince beklerseniz teori birkac gun dogru seyi gosteriyor!". Evet! Demek ki teori dogru! :) Ben de diyorum ki "gelecekte yagmur yagmasi kesin!". Hakli miyim? Bekleyin gorun!

ST

İshak Alaton Bey, gayet tabii ki işçi sınıfı bu sistemi yıksın filan demiyor, sadece krizin anlamını algılamak için Marx’ı okuyun diyor

Tavuk cevirme

Alaton serbest piyasa ekonomisini sorgulamis, yerine de devlet merkezli bir gasp mekanizmasi olan Marx'inkini tavsiye etmis. Bunun ne anlama geldigi gayet acik ortada. Turgut, kendi kafasindan gecenleri Alaton'a yamamaya ugrasiyor ve kelime oyunu yapiyor. Satir aralarini okumaya ugrasiyor. Bazen bir puro sadece bir puro demektir.


Serdar Turgut

Bu insan tipinin, hiçbir zaman doymayan, hep daha fazlasını talep eden, tamemen egoistçe tüketmek üstüne kurulu bu yaşamları, kendisine benzeyenlerle bir araya gelince hem kendilerini hem de hayatı tükettiler.

Asiri genelleme

Madem durum boyle, o zaman niye ABD'de yardim amacli (charity) ve kar pesinde olmayan (non-profit) kuruluslarda calisan milyonlarca insan var?


ST

Merkezde hep daha fazla, daha da fazla tüketmeye koşullanmış insanlar, kağıt üzerindeki oyunlardan oluşan kazançlarla kendilerine bir yaşam kurdular.

Asiri genelleme

Bu "havadan kazanilan para" dusturu tipik bir sosyalist bakisidir. Acaba Google da parayi boyle havadan kazanan bir sirket mi? Marx kafasini kullanarak para kazananlari her zaman hakir gormustu, onlari "verimsiz insanlar" diye asagilamisti. Fakat 1950 sonrasi ABD'de daha sonra tum gelismis ekonomilerde bu onemsiz sayilan isciler kapitalizme yeni bir enerji verdiler ve Marx'a tokadi caktilar. Bu ekonomide evet spekulatorler de vardir, ve bu insanlarin bazilari kumar oynar gibi oynamaktadir fakat artik bu is ciddi teknik analiz ve bugunu yorumlama gibi analitik yetenekler gerektirmektedir. Bu alanda matematiksel modellerle ugrasmis (ve halen ugrasan) biri olarak soyluyorum, kullanilan teknikler, sismolojide deprem tahmini ya da meteorolojide hava tahmini yapmak icin kullanilan tekniklerden katiyen daha asagi degildir. Bazi metotlar oyle saglamdir ki, mesela alip "ses tanima (speech processing)" icin direk, birebir olarak kullanilabilirsiniz (ki onu da yaptik).


ST

Bir gün bu eve alıcı olarak 20’li yaşlarda, suratındaki sivilceler henüz patlamamış bir ‘nerd’ gelip, parayı bastırıverdi. O nerd de parayı çok kolay kazanmış bir ‘hedge fund’cıydı

Asiri genelleme

Turgut o sivilceli cocugun o parayi hangi teknikleri kullanarak kazandigini bilmiyor. Yine tipik bir sosyalist bilgisizligi ve anlamadigi sisteme "supheci" bir bakis.. Oyle cocuklar taniyorum Sn. Turgut valla bir bilgisayar programi yaziverir - mal gibi bakakalirsiniz.


ST

Bir başka çevre ülkede yine fiktif [hayali demek istiyor] yoldan paralar kazanan bazı genç adamlar, gece çıktıkları son derece lüks restoranda bir şişe şaraba binlerce doları hiç düşünmeden verebildiler

Ne olmus?

Luks tuketimin de bir ekonomide yeri vardir. Hic unutmam, boyle bir yerin kapisinda taksiye bindigimde taksiciyle sohbetimizde adam "zengin mengin geliyor buraya, gelsin ne olmus? iste onun sayesinde biz de para kazaniyoruz burada" yorumunu isitmistim. Sokaktaki insan cebine bakar ve parayi hangi ortamda kazandigini da iyi bilmektedir. Ayagi yere basmayan (ve hicbir zaman basmayacak olan) teoriler ile dunyayi ve ulkenizi anlayamazsiniz. Asagiladiginiz finans sektorunun arkasinda milyarlarca dolarlik IT yatirimi ve know-how yatiyor. Istanbul niye finans merkezi olmak icin yirtiniyor acaba?

Dogru ama..

.. burada suclu eski usul endustriyellesmedir, kapitalizm degildir. Ayrica ekonomik krizler, savaslar her zaman devletci ya da "karma ekonomi" on plana ciktigi zamanlarda olmustur. Bu zamanlar kapitalizm'in arka planda kaldigi zamanlardir. Ve tipik olarak suc kapitalizm'e atilmistir [2].


ST

Bunu bildiğimden New York’ta geçen hafta etrafı izlerken kendimi birden Pompei’nin son günlerini izliyormuş gibi hissettim.

Kiyametsevici

Turkiye'de bir kisim insanda bu ozellik cok goruluyor. Sistem cokecek, her sey bitecek, falan.. Bu hissiyatin arkasinda birkac faktor yatiyor:

1) Bugunu anlayamadigi icin anlayamadigi seyin cokmesi icin gudulen gizli bir istek

2) "Aci arkadas ister (misery needs friends)" hissiyatinin Turkiyelesmis hali. Insanlarimiz sosyallesmeyi cok seviyor, bazilari da bunun icin ortaya yapay bir "aci" cikartarak bunu "sosyallesme araci" olarak kullaniyorlar. Bu tip insanlarin surekli saglik problemlerinden bahsetmesi de benzer hissiyatla alakali .


ST

Maalesef öyle görülüyor ki; kapitalizmin değil ama kapitalizmin bir evresinin sonuna gelindi.

Dogru

Nihayet. Eski usul endustriyellesmenin kapitalizm'i bitiyor. Yerine cevreye duyarli, daha az "sinirli dogal kaynaga" dayanan, daha fazla bilgiye dayali, daha cok insana yardim edebilecek (egitim, verimli uretim uzerinden) bir kapitalizm geliyor. Bu sistem daha az merkeze dayali, daha fazla "network'u baz alan" bir sistem olacaktir, ki aslinda kapitalizmin ruhu gayri-merkezidir. Tamamen nasil olacagini bilemiyoruz, fakat bu sistem buyuk bir ihtimalle ABD'den cikacak. Yani Turgut'un Pompei dedigi sehrin oldugu ulkeden.


Hadi Uluengin

OYSA, söz konusu "modernite"nin önemli zaaflar içerdiğinin de farkındayım.

Dogru

Modernite endustriyellesme demektir ve dogru, bu ideoloji zaaflar icerir. Hatta biz daha ileri gidecegiz: 21. yuzyil itibariyle modernite gericiliktir.

HU

"Rasyonel mantıkçılık" yaftası altında ipin uçu kaçırıldığı takdirde, işin, yukarıdaki "felsefi insaniyetçilik"in tam zıddı olan kanlı totalitarizme gittiğini ve gideceğini biliyorum.

Eksik

Rasyonel dusunce, mantik ile yanlisa gitmezsiniz - ama eger onkabul (apriori) bilgileriniz yanlissa, en dogru mantiksal zincirle bile yanlisa erisirsiniz. Herseyi de bilemeyebilirsiniz, bu normaldir, onemli olan "ne bilmediginizi bilmektir" ki bu da rasyonel dusuncenin bir parcasidir.

Totaliterlik mi dediniz? Bu yemegi pisirmenin kolay yolu sudur: Darwin teorisini amaci disinda kullanirsaniz, sosyalizm gibi b.ktan bir ideolojiye azicik mistisizm katarsaniz, endustriyellesmis bir ulkede fasizmi elde edersiniz.

HU

Nitekim de, Fransız Devrimi giyotininden [..], böylesine "dejenere" ve "sapkın" örnekler göz çıkartıyor. Bunları kim inkár edebilir?

Ne de olsa Fransiz


HU

Başka bir deyişle, hálen hüküm süren "akıldışılık modası", eyvah ki eyvah, modern akılcılığının o aklı bazen peynir ekmekle yemek gafletine düşmüş olmasından yararlanıyor.

Dogru

Postmodernizm sanayi ideoloji sonrasinin seceneklerinden biridir. Bilim karsitidir bu sebeple takip edilmesi cok sakincalidir. Kaldi ki tek secenek degildir.

HU

Diğer yandan ise, dün değindiğim "dini muhafazakárlaşma" da dahil, rasyonaliteyi dünya sathında reddeden ve esas itibariyle yeni tür bir "kadercilik" olan şimdiki postmodern hezeyanlara karşı, özgür insanı ve onun mantıki aklını savunmak zorunluluğu dayatmaktadır

Dogru

[1] Mesela sahsimiz icin bilim kurgu filmleri, dizileri boyle bir "kulturel" alandir, bu alandaki fikriyat, sanat seviyesi katiyen diger sanatlardan daha asagi degildir. Tek bir Firefly dizisi hakkinda sayfalarca analiz, yorum yapmak mumkundur (birgun yapariz belki), Star Trek hakkinda artik doktora tezleri yazilmaktadir. Yani tek kultur, ve kulturlu olmak laflari bitmistir. Kendine has ilgi alanlari olmak gundemdedir.

[2] Ayn Rand, Capitalism, The Unknown Ideal


Beyaz Insanlar Neleri Sever?

Gunlerdir bu blog'u okuyup guluyorum.... Beyaz Insanlar Neleri Sever adli blog'da ABD'de beyazlar ti'ye aliniyor - muhakkak tum kategorizasyonlar gibi bunun da eksik oldugu yerler var, aslinda ti'ye alinanlar genelde "teknik" ve "kafa gerektiren" islerde ugrasmayan, farkli kulturlerle hasir nesir olmamis, Avrupa'yi bir sey zanneden [1], derinligi olmayan hafiften "odun" beyaz tipler. Ama bazi noktalar cogu kiside kismen mevcut olabiliyor.Beyazlarin sevdigi seyler her blog post'unda yeni bir kalem olarak anlatiliyor. Mesela #1 no'lu kalem"Kahve", #74 no'lu post, "Oscar Partileri", Oscar partisi derken Oscar odullerinin verilirken ona paralel bir ev partisi ya da baska bir yerde yapilan bir partiden bahsediliyor. Alttaki bu post'tan kismen bir tercume:"Bir beyaz adamin guvenini kazanmak icin en uygun yer bir Oscar partisidir. Hatta bu partilerden birine davet edilmis olmak sizin "klube girmek" icin iyi bir firsatinizdir. Bu partilerde kullandiginiz kelimeler cok onemlidir: Hic bir zaman "movie" demeyeceksiniz, "film" diyeceksiniz. Hangi odullerin "Best" kelimesini icerdigi, hangi odullerin "Outstanding Achievement" kelimesini icerdigini bilmeniz gerekir, mesela "umarim Atonement adli film "Best Art Direction" odulunu kazanir" derseniz, bir dahaki seneye partiye davet edilmemeniz garanti olur.

Bu partilerde giysi cok onemlidir. Ya cok sasa'li takim elbise/gecelik giyin, ya da "Best Picture" odulune aday gosterilmis filmlerden birine gore "tematik" giyinin. Yani 2008 Oscar partisine giderken thirt'unuz icine bir yastik koyup hamile bir teenager'i hatirlatarak (Juno adli filme atif yaparak) gidebilirsiniz. [..]Fakat tum bu hazirliklar eger Oscar partisinin en kritik aninda dogru davranmazsaniz suya duser. Bu an, Best Foreign Film (en iyi yabanci filmler) kategorisindeki "adaylarin" aciklandigi andir. O anda beyaz insanlardan biri mutlaka kizar, ve hic kimsenin duymadigi bir film ismi soyleyerek o filme haksizlik yapildigini soyler. Bu soylenince kafanizi sallayin ve ona katilin. "Vakit bulursam o filmi seyretmek isterim ben de" diyebilirsiniz, filmi seyretmis ve can sıkıcı oldugunu dusunuyor olsaniz da.. "---Komedi.. Blog'u hala daha bitiremedik, simdiye bakilanlar arasinda #90 Dinner Parties, #89 St. Patrick’s Day, #87 Outdoor Performance Clothes, #84 T-Shirts, #83 Bad Memories of High School ilginc olanlardan sayilabilir.Bir zencinin baskanlik sansinin oldugu gunlerde, beyaz kulturunu kritik edici bir blog zamanin ruhuna uygun olmali..

Isin komik tarafi blog'un yazari Christian Lander'in kendisi de bir beyaz (ben de blog baglantisini beyaz bir arkadastan aldim).Iyi eglenceler,---[1] Bu sasirtici gelebilir, cunku Amerika kurulus itibariyle Avrupa'dan tamamen farkli bir felsefe tasir. Fakat daha once pek cok kez bahsettigimiz ucuncu dalga'nin beraberinde getirdigi karisiklik, arayis, bazi insanlari Avrupasevicik gibi bir garabet uc noktaya itmistir.


TESEV - Yargida Algi ve Zihniyet Kaliplari

Hâkim ve savcılar arasında yargılama faaliyeti sırasında adalet ile devletin çıkarı veya demokrasi ile devletin güvenligi arasında bir karsıtlık çıkabilecegi ve bu durumda devletin çıkarlarının korunması gerektigi kanısının yaygın oldugunu gördük. Görüsme yapılan hâkim ve savcıların bu kanılarını yansıtan su ifadelerini, özellikle dikkat çekici bulduk:

“Ben devletçi hukukçuyum.”

“Önce devlet gelir.”

“Bir kere biz devletçi bir ekolden geliyoruz.”

“Her zaman devlet ön plana çıkıyor gibi geliyor.”

“Devlet olmazsa hukuk olmaz, biz de olmayız.”

“Yani mutlaka tabi hepimiz devletimizi seviyoruz, devletimizin güvenligi konusunda azami özeni, dikkati göstermek durumundayız.”

“Diyelim devleti korumaya çalısırken adil olmayabilirsin, adaletten sapabilirsin. Veya adaleti yerine getiriyorum diye devlete zarar verebilirsiniz veya devleti koruyorum diye adalete zarar verebilirsiniz. Mümkündür.”

“Simdi devlet olmazsa demokrasi olmaz. Tabii, Cumhuriyet Savcısıyım, yani bu nasıl, Cumhuriyeti denetlersiniz devleti korumak geregi … Bu gibi durumlarda devlet mi öncelikli demokrasi mi önemli, yani çok fazla karsılastıgımız bir durum olmadı simdiye kadar. Ancak tabii ben Cumhuriyet Savcısı olarak devleti ve rejimi korumam gerek. Ben rejimin savcısıyım. Buna karsı olan bir seyde ben demokrasiyi, demokrasi dediniz, göz ardı ederim. Yani siz benim devletime, milletime saldırırsanız, bu olmaz.”

“Benim ülkem söz konusu oldugunda hukuk mukuk dinlemem.”

“Devletim olmadıktan sonra benim bireysel özgürlügüm hiçbir ise yaramaz.”

“Yargılama faaliyetinin amacı, olmazsa olmazı nedir”, “hukuk öncelikli olarak hangi degeri korumalıdır” gibi sorulara aldıgımız yanıtlardan biri ise su sekildeydi : “insan hakları biraz abartılıyor”

Bu yaygın kanının dısında kalan ve görüsmeciler arasında azınlıgı olusturan hâkim ve savcıların yaklasımları da su ifadelerde dile geldi:

“Devlet kutsal kabul edilmemeli.”

“Insana gereken degerin verilmesi, hakkının korunması, devlet tarafından korunması, insanımızın hakkını korumadıgımız sürece devlet olmaz ki devletin hakkını koruyalım.”

“Devlet adına demokrasinin çignenmesine karsıyım.”

“Devletin nesini koruyacaksınız? Devletin önce yurttasını koruyacaksınız.”