How long will America last?
Using a data set of empires that spans over 3,000 years, I wanted to create a model that could show us, statistically, what the lifetimes of empires look like. There are many more complex and intricate models of how civilizations grow and decay, but perhaps something could be gained by creating a very simple model that looks only at life span.This data set is expansive, including everything from the Babylonian Empire of ancient Mesopotomia - known for such contributions as Hammurabi’s Code - to the Byzantine Empire, which has provided us with the eponymous word for red tape [..]
But there is a more interesting way to look at it than simply taking an average. By putting all the life spans together, we can see a pattern that statisticians call a distribution - the underlying shape of the "density" of the life spans.
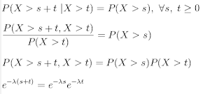
Distributions give us a much better sense than the average because, just as with incomes, life spans needn’t be distributed like a bell-shaped curve. They can be skewed towards one end or the other.In the case of empires, their life spans seem to follow what’s called an exponential distribution. The exponential distribution is special for a particular reason: Of all the different types of probability distribution, it is the only one that is “memoryless.” This means that if something’s life span adheres to an exponential distribution, the likelihood of it ending next year - or even tomorrow - is the same no matter how long it has lasted. It has no “memory.” If something has lasted for a hundred years, it is no more or less likely to go extinct next year than something that has only lasted a single decade. This is quite unlike, for example, human life span, where the older you get, the more likely you are to die. An empire’s chance of death is the same each year.Right you areExponential distribution is truly memoryless.First eqn above states the conditions for such a distribution, second is after applying the conditional rule, third is simply rearranging it. The only way Eq #3 can work is with an exponential distribution as seen in Eqn #4. So average time at a bank is 10 mins, what is the prob of waiting 15 mins? $exp^{-151/10} = 0.223$. What is the prob of waiting 15 minutes given you waited 10 minutes? It dont matter how long you waited, you simply take remaining 5 mins and ax the distribution, $exp^{-51/10} = 0.60$.

Note: The model we referenced is based on exponential distribution that says an empire's life (time spent) does not effect the probability of its continued existence. Notice tho the model only takes into consideration one kind of variable -- time. If you stand on a street corner and record arrival times of all the cars passing that corner, and prepare an histogram for these arrival times, you would see an exponential distribution. But, if you followed that one car, tried to understand it in terms of variables other than just time, than maybe you could predict its complete journey, i.e. when it would pass your street corner, when or if it would get stuck in dead-end, crash, etc. IOW better models can provide better results. The article we referenced was interesting, sure, it used a concept from industrial engineering and it went one step beyond taking an average, which is truly the simplest thing you can do. But the model is just that -- one step beyond a simple average.